Toom Cook

Small Field

Sumcheck

šŸ¤šŸ»

Toom Cook Multiplication: Example

6219
\times \ 4418
= \ 62 \textcolor{lightgrey}{\times 10^2} + 19
= \ 44 \textcolor{lightgrey}{\times 10^2} + 18
\implies p(x)= \ 62 \textcolor{lightgrey}{\times x} + 19
\implies q(x)= \ 44 \textcolor{lightgrey}{\times x} + 18
m(x)= p(x) \cdot q(x)
\implies m(10^2)
\begin{aligned} p(0) &= 62 \textcolor{lightgrey}{\cdot 0} + 19 = \textcolor{red}{19} \\ p(1) &= 62 \textcolor{lightgrey}{\cdot 1} + 19 = \textcolor{red}{81} \\ p(\infty) &= 62 \textcolor{lightgrey}{\cdot \small \frac{1}{0}} + 19 = \textcolor{red}{62} \end{aligned}
\begin{aligned} q(0) &= 44 \textcolor{lightgrey}{\cdot 0} + 18 = \textcolor{red}{18} \\ q(1) &= 44 \textcolor{lightgrey}{\cdot 1} + 18 = \textcolor{red}{62} \\ q(\infty) &= 44 \textcolor{lightgrey}{\cdot \small \frac{1}{0}} + 18 = \textcolor{red}{44} \end{aligned}
\implies m(x)= \ 2728 \textcolor{lightgrey}{\times x^2} + 1952 \textcolor{lightgrey}{\times x} + 342
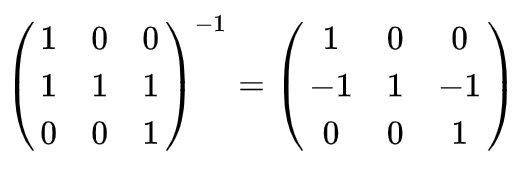
\begin{pmatrix} 1 & 0 & 0\\ 1 & 1 & 1\\ 0 & 0 & 1 \end{pmatrix}^{-1} \begin{pmatrix} 342\\ 5022\\ 2728 \end{pmatrix} = \begin{pmatrix} 342\\ 1952\\ 2728 \end{pmatrix}
\begin{aligned} m(0) &= 342\\ \implies \quad m(1) &= 5022\\ m(\infty) &= 2728 \end{aligned}

Toom Cook Multiplication for \(d\)

\underbrace{(p_0 + p_1\cdot x)(q_0 + q_1\cdot x)(r_0 + r_1\cdot x)\dots (y_0 + y_1\cdot x)}_{d \text{ terms}}
  • Multiplying \(d\) terms each of degree \(1\) results in \((d+1)\) Toom-Cook opsĀ 
\begin{bmatrix} p(0) \cdot q(0) \cdot r(0) \dots y(0) \\ p(1) \cdot q(1) \cdot r(1) \dots y(1) \\ p(-1) \cdot q(-1) \cdot r(-1) \dots y(-1) \\ \vdots \\ p(\infty) \cdot q(\infty) \cdot r(\infty) \dots y(\infty) \end{bmatrix}
\underbrace{\hspace{4cm}}
(d+1)
\underbrace{\hspace{8.4cm}}
(d-1) \textsf{ bb} \text{ mults}
  • Naively, we need \((d-1) \textsf{bb}\) multiplications per Toom-Cook operationĀ 
  • In total, we perform \((d+1)(d-1) \textsf{bb}\) multiplications
\underbrace{(p_0 + p_1\cdot x)(q_0 + q_1\cdot x)(r_0 + r_1\cdot x)\dots (y_0 + y_1\cdot x)}_{d \text{ terms}}
  • Inversion matrices can contain rational termsĀ 
  • Problem: multiplying by rational factors is not good
  • Solution: the prover and verifier can agree on certain scaling factors to avoid any rational multiplicands
d=2
d=3
d=4
d=2
d=3
d=4
p(x)q(x)
\textcolor{red}{2}\cdot p(x)q(x)r(x)
\textcolor{red}{6}\cdot p(x)q(x)r(x)s(x)

Toom Cook Multiplication for \(d\)

Recall - Algorithm \(3\)

r_i(0) = \sum_{\mathbf{X}} \textcolor{blue}{a}(\alpha_1, \dots, \alpha_{i-1}, 0, \mathbf{X})\cdot \textcolor{red}{b}(\alpha_1, \dots, \alpha_{i-1}, 0, \mathbf{X})
r_1(c) = \sum_{\mathbf{X}} \textcolor{blue}{a}(c, \mathbf{X})\cdot \textcolor{red}{b}(c, \mathbf{X})
= \sum_{\mathbf{X}} \Big( \bar{c} \cdot \textcolor{blue}{a}(\textcolor{green}{0}, \mathbf{X}) + c \cdot \textcolor{blue}{a}(\textcolor{green}{1}, \mathbf{X}) \Big) \Big( \bar{c} \cdot \textcolor{red}{b}(\textcolor{green}{0}, \mathbf{X}) + c \cdot \textcolor{red}{b}(\textcolor{green}{1}, \mathbf{X}) \Big)
= \sum_{\mathbf{X}} \Big( \bar{c}^2\cdot \textcolor{blue}{a}(\textcolor{green}{0}, \mathbf{X})\textcolor{red}{b}(\textcolor{green}{0}, \mathbf{X}) +c^2\cdot \textcolor{blue}{a}(\textcolor{green}{1}, \mathbf{X})\textcolor{red}{b}(\textcolor{green}{1}, \mathbf{X}) +\bar{c}c \cdot\textcolor{blue}{a}(\textcolor{green}{0}, \mathbf{X})\textcolor{red}{b}(\textcolor{green}{1}, \mathbf{X}) +\bar{c}c \cdot\textcolor{blue}{a}(\textcolor{green}{1}, \mathbf{X})\textcolor{red}{b}(\textcolor{green}{0}, \mathbf{X}) \Big)
\underbrace{\hspace{3.6cm}}
\underbrace{\hspace{3.6cm}}
\underbrace{\hspace{3.6cm}}
\underbrace{\hspace{3.6cm}}

Pre-compute with \(4\times \frac{n}{2} \ \textsf{bb}\)

+ \bar{c}c \cdot\textcolor{blue}{a}(\textcolor{green}{0}, \mathbf{X})\textcolor{red}{b}(\textcolor{green}{0}, \mathbf{X}) +\bar{c}c \cdot\textcolor{blue}{a}(\textcolor{green}{1}, \mathbf{X})\textcolor{red}{b}(\textcolor{green}{1}, \mathbf{X})
-\bar{c}c \cdot\textcolor{blue}{a}(\textcolor{green}{0}, \mathbf{X})\textcolor{red}{b}(\textcolor{green}{0}, \mathbf{X}) -\bar{c}c \cdot\textcolor{blue}{a}(\textcolor{green}{1}, \mathbf{X})\textcolor{red}{b}(\textcolor{green}{1}, \mathbf{X})
= \sum_{\mathbf{X}} \Big( (\bar{c}^2 - \bar{c}c)\cdot \textcolor{blue}{a}(\textcolor{green}{0}, \mathbf{X})\textcolor{red}{b}(\textcolor{green}{0}, \mathbf{X}) +(\bar{c}^2 - \bar{c}c)\cdot \textcolor{blue}{a}(\textcolor{green}{1}, \mathbf{X})\textcolor{red}{b}(\textcolor{green}{1}, \mathbf{X}) +\bar{c}c \cdot \left( \textcolor{blue}{a}(\textcolor{green}{0},\mathbf{X}) + \textcolor{blue}{a}(\textcolor{green}{1}, \mathbf{X}) \right) \left( \textcolor{red}{b}(\textcolor{green}{0},\mathbf{X}) + \textcolor{red}{b}(\textcolor{green}{1}, \mathbf{X}) \right) \Big)
\underbrace{\hspace{3.6cm}}
\underbrace{\hspace{3.6cm}}
\underbrace{\hspace{9.6cm}}

Pre-compute with \(3\times \frac{n}{2} \ \textsf{bb}\)

\begin{bmatrix} 0\cdot 0 & 0\cdot 1 \\ 1\cdot 0 & 1\cdot 1 \end{bmatrix}

\(\implies\) Karatsuba trick!

Toom Cook in Sumcheck

r_1(c) = \sum_{\mathbf{X}} \textcolor{blue}{a}(c, \mathbf{X})\cdot \textcolor{red}{b}(c, \mathbf{X})
= \sum_{\mathbf{X}} \Big( \bar{c} \cdot \textcolor{blue}{a}(\textcolor{green}{0}, \mathbf{X}) + c \cdot \textcolor{blue}{a}(\textcolor{green}{1}, \mathbf{X}) \Big) \Big( \bar{c} \cdot \textcolor{red}{b}(\textcolor{green}{0}, \mathbf{X}) + c \cdot \textcolor{red}{b}(\textcolor{green}{1}, \mathbf{X}) \Big)
= \sum_{\mathbf{X}} \textsf{TC2}_c \left( \fcolorbox{blue}{none}{$\textcolor{blue}{a}(\textcolor{green}{0}, \mathbf{X}), \textcolor{blue}{a}(\textcolor{green}{1}, \mathbf{X})$}, \fcolorbox{red}{none}{$\textcolor{red}{b}(\textcolor{green}{0}, \mathbf{X}), \textcolor{red}{b}(\textcolor{green}{1}, \mathbf{X})$} \right)
\underbrace{\hspace{3.8cm}}_{p(c) = \textcolor{blue}{a}(\textcolor{green}{0}, \mathbf{X}) + c \cdot (\textcolor{blue}{a}(\textcolor{green}{1}, \mathbf{X}) - \textcolor{blue}{a}(\textcolor{green}{0}, \mathbf{X}))}
\underbrace{\hspace{3.8cm}}_{q(c) = \textcolor{red}{b}(\textcolor{green}{0}, \mathbf{X}) + c \cdot (\textcolor{red}{b}(\textcolor{green}{1}, \mathbf{X}) - \textcolor{red}{b}(\textcolor{green}{0}, \mathbf{X}))}

\(\implies 3 \cdot \textsf{bb}\) multiplicationsĀ 

Round 1:

Toom Cook in Sumcheck

Round 2:

r_2(c) = \sum_{\mathbf{X}} \textcolor{blue}{a}(\alpha_1, c, \mathbf{X})\cdot \textcolor{red}{b}(\alpha_1, c, \mathbf{X})
= \sum_{\mathbf{X}} \Big( L_{1, \vec{\alpha}_1} \cdot \textcolor{blue}{a}(\textcolor{green}{0}, c, \mathbf{X}) + L_{2, \vec{\alpha}_1} \cdot \textcolor{blue}{a}(\textcolor{green}{1}, c, \mathbf{X}) \Big) \Big( L_{1, \vec{\alpha}_1} \cdot \textcolor{red}{b}(\textcolor{green}{0}, c, \mathbf{X}) + L_{2, \vec{\alpha}_1} \cdot \textcolor{red}{b}(\textcolor{green}{1}, c, \mathbf{X}) \Big)
= \sum_{\mathbf{X}} \Big( L_{1, \vec{\alpha}_1} \cdot (\bar{c} \cdot \textcolor{blue}{a}(\textcolor{green}{0, 0}, \mathbf{X}) + c \cdot \textcolor{blue}{a}(\textcolor{green}{0, 1}, \mathbf{X})) + L_{2, \vec{\alpha}_1} \cdot (\bar{c} \cdot \textcolor{blue}{a}(\textcolor{green}{1, 0}, \mathbf{X}) + c \cdot \textcolor{blue}{a}(\textcolor{green}{1, 1}, \mathbf{X})) \Big)
\Big( L_{1, \vec{\alpha}_1} \cdot (\bar{c} \cdot \textcolor{red}{b}(\textcolor{green}{0, 0}, \mathbf{X}) + c \cdot \textcolor{red}{b}(\textcolor{green}{0, 1}, \mathbf{X})) + L_{2, \vec{\alpha}_1} \cdot (\bar{c} \cdot \textcolor{red}{b}(\textcolor{green}{1, 0}, \mathbf{X}) + c \cdot \textcolor{red}{b}(\textcolor{green}{1, 1}, \mathbf{X})) \Big)
= \sum_{\mathbf{X}} \Big( L_{1, \vec{\alpha}_1}^2 \cdot \textsf{TC2}_c \left( \fcolorbox{blue}{none}{$\textcolor{blue}{a}(\textcolor{green}{0, 0}, \mathbf{X}), \textcolor{blue}{a}(\textcolor{green}{0, 1}, \mathbf{X})$}, \fcolorbox{red}{none}{$\textcolor{red}{b}(\textcolor{green}{0, 0}, \mathbf{X}), \textcolor{red}{b}(\textcolor{green}{0, 1}, \mathbf{X})$} \right) +

Toom Cook in Sumcheck

Round 2:

r_2(c) = \sum_{\mathbf{X}} \textcolor{blue}{a}(\alpha_1, c, \mathbf{X})\cdot \textcolor{red}{b}(\alpha_1, c, \mathbf{X})
= \sum_{\mathbf{X}} \Big( L_{1, \vec{\alpha}_1} \cdot \textcolor{blue}{a}(\textcolor{green}{0}, c, \mathbf{X}) + L_{2, \vec{\alpha}_1} \cdot \textcolor{blue}{a}(\textcolor{green}{1}, c, \mathbf{X}) \Big) \Big( L_{1, \vec{\alpha}_1} \cdot \textcolor{red}{b}(\textcolor{green}{0}, c, \mathbf{X}) + L_{2, \vec{\alpha}_1} \cdot \textcolor{red}{b}(\textcolor{green}{1}, c, \mathbf{X}) \Big)
= \sum_{\mathbf{X}} \Big( L_{1, \vec{\alpha}_1} \cdot (\bar{c} \cdot \textcolor{blue}{a}(\textcolor{green}{0, 0}, \mathbf{X}) + c \cdot \textcolor{blue}{a}(\textcolor{green}{0, 1}, \mathbf{X})) + L_{2, \vec{\alpha}_1} \cdot (\bar{c} \cdot \textcolor{blue}{a}(\textcolor{green}{1, 0}, \mathbf{X}) + c \cdot \textcolor{blue}{a}(\textcolor{green}{1, 1}, \mathbf{X})) \Big)
\Big( L_{1, \vec{\alpha}_1} \cdot (\bar{c} \cdot \textcolor{red}{b}(\textcolor{green}{0, 0}, \mathbf{X}) + c \cdot \textcolor{red}{b}(\textcolor{green}{0, 1}, \mathbf{X})) + L_{2, \vec{\alpha}_1} \cdot (\bar{c} \cdot \textcolor{red}{b}(\textcolor{green}{1, 0}, \mathbf{X}) + c \cdot \textcolor{red}{b}(\textcolor{green}{1, 1}, \mathbf{X})) \Big)
= \sum_{\mathbf{X}} \Big( L_{1, \vec{\alpha}_1}^2 \cdot \textsf{TC2}_c \left( \fcolorbox{blue}{none}{$\textcolor{blue}{a}(\textcolor{green}{0, 0}, \mathbf{X}), \textcolor{blue}{a}(\textcolor{green}{0, 1}, \mathbf{X})$}, \fcolorbox{red}{none}{$\textcolor{red}{b}(\textcolor{green}{0, 0}, \mathbf{X}), \textcolor{red}{b}(\textcolor{green}{0, 1}, \mathbf{X})$} \right) +
L_{2, \vec{\alpha}_1}^2 \cdot \textsf{TC2}_c \left( \fcolorbox{blue}{none}{$\textcolor{blue}{a}(\textcolor{green}{1, 0}, \mathbf{X}), \textcolor{blue}{a}(\textcolor{green}{1, 1}, \mathbf{X})$}, \fcolorbox{red}{none}{$\textcolor{red}{b}(\textcolor{green}{1, 0}, \mathbf{X}), \textcolor{red}{b}(\textcolor{green}{1, 1}, \mathbf{X})$} \right) +

Toom Cook in Sumcheck

Round 2:

r_2(c) = \sum_{\mathbf{X}} \textcolor{blue}{a}(\alpha_1, c, \mathbf{X})\cdot \textcolor{red}{b}(\alpha_1, c, \mathbf{X})
= \sum_{\mathbf{X}} \Big( L_{1, \vec{\alpha}_1} \cdot \textcolor{blue}{a}(\textcolor{green}{0}, c, \mathbf{X}) + L_{2, \vec{\alpha}_1} \cdot \textcolor{blue}{a}(\textcolor{green}{1}, c, \mathbf{X}) \Big) \Big( L_{1, \vec{\alpha}_1} \cdot \textcolor{red}{b}(\textcolor{green}{0}, c, \mathbf{X}) + L_{2, \vec{\alpha}_1} \cdot \textcolor{red}{b}(\textcolor{green}{1}, c, \mathbf{X}) \Big)
= \sum_{\mathbf{X}} \Big( L_{1, \vec{\alpha}_1} \cdot (\bar{c} \cdot \textcolor{blue}{a}(\textcolor{green}{0, 0}, \mathbf{X}) + c \cdot \textcolor{blue}{a}(\textcolor{green}{0, 1}, \mathbf{X})) + L_{2, \vec{\alpha}_1} \cdot (\bar{c} \cdot \textcolor{blue}{a}(\textcolor{green}{1, 0}, \mathbf{X}) + c \cdot \textcolor{blue}{a}(\textcolor{green}{1, 1}, \mathbf{X})) \Big)
\Big( L_{1, \vec{\alpha}_1} \cdot (\bar{c} \cdot \textcolor{red}{b}(\textcolor{green}{0, 0}, \mathbf{X}) + c \cdot \textcolor{red}{b}(\textcolor{green}{0, 1}, \mathbf{X})) + L_{2, \vec{\alpha}_1} \cdot (\bar{c} \cdot \textcolor{red}{b}(\textcolor{green}{1, 0}, \mathbf{X}) + c \cdot \textcolor{red}{b}(\textcolor{green}{1, 1}, \mathbf{X})) \Big)
= \sum_{\mathbf{X}} \Big( L_{1, \vec{\alpha}_1}^2 \cdot \textsf{TC2}_c \left( \fcolorbox{blue}{none}{$\textcolor{blue}{a}(\textcolor{green}{0, 0}, \mathbf{X}), \textcolor{blue}{a}(\textcolor{green}{0, 1}, \mathbf{X})$}, \fcolorbox{red}{none}{$\textcolor{red}{b}(\textcolor{green}{0, 0}, \mathbf{X}), \textcolor{red}{b}(\textcolor{green}{0, 1}, \mathbf{X})$} \right) +
L_{2, \vec{\alpha}_1}^2 \cdot \textsf{TC2}_c \left( \fcolorbox{blue}{none}{$\textcolor{blue}{a}(\textcolor{green}{1, 0}, \mathbf{X}), \textcolor{blue}{a}(\textcolor{green}{1, 1}, \mathbf{X})$}, \fcolorbox{red}{none}{$\textcolor{red}{b}(\textcolor{green}{1, 0}, \mathbf{X}), \textcolor{red}{b}(\textcolor{green}{1, 1}, \mathbf{X})$} \right) +
L_{1, \vec{\alpha}_1}L_{2, \vec{\alpha}_1} \cdot \textsf{TC2}_c \left( \fcolorbox{blue}{none}{$\textcolor{blue}{a}(\textcolor{green}{0, 0}, \mathbf{X}), \textcolor{blue}{a}(\textcolor{green}{0, 1}, \mathbf{X})$}, \fcolorbox{red}{none}{$\textcolor{red}{b}(\textcolor{green}{1, 0}, \mathbf{X}), \textcolor{red}{b}(\textcolor{green}{1, 1}, \mathbf{X})$} \right) +

Toom Cook in Sumcheck

Round 2:

r_2(c) = \sum_{\mathbf{X}} \textcolor{blue}{a}(\alpha_1, c, \mathbf{X})\cdot \textcolor{red}{b}(\alpha_1, c, \mathbf{X})
= \sum_{\mathbf{X}} \Big( L_{1, \vec{\alpha}_1} \cdot \textcolor{blue}{a}(\textcolor{green}{0}, c, \mathbf{X}) + L_{2, \vec{\alpha}_1} \cdot \textcolor{blue}{a}(\textcolor{green}{1}, c, \mathbf{X}) \Big) \Big( L_{1, \vec{\alpha}_1} \cdot \textcolor{red}{b}(\textcolor{green}{0}, c, \mathbf{X}) + L_{2, \vec{\alpha}_1} \cdot \textcolor{red}{b}(\textcolor{green}{1}, c, \mathbf{X}) \Big)
= \sum_{\mathbf{X}} \Big( L_{1, \vec{\alpha}_1} \cdot (\bar{c} \cdot \textcolor{blue}{a}(\textcolor{green}{0, 0}, \mathbf{X}) + c \cdot \textcolor{blue}{a}(\textcolor{green}{0, 1}, \mathbf{X})) + L_{2, \vec{\alpha}_1} \cdot (\bar{c} \cdot \textcolor{blue}{a}(\textcolor{green}{1, 0}, \mathbf{X}) + c \cdot \textcolor{blue}{a}(\textcolor{green}{1, 1}, \mathbf{X})) \Big)
\Big( L_{1, \vec{\alpha}_1} \cdot (\bar{c} \cdot \textcolor{red}{b}(\textcolor{green}{0, 0}, \mathbf{X}) + c \cdot \textcolor{red}{b}(\textcolor{green}{0, 1}, \mathbf{X})) + L_{2, \vec{\alpha}_1} \cdot (\bar{c} \cdot \textcolor{red}{b}(\textcolor{green}{1, 0}, \mathbf{X}) + c \cdot \textcolor{red}{b}(\textcolor{green}{1, 1}, \mathbf{X})) \Big)
= \sum_{\mathbf{X}} \Big( L_{1, \vec{\alpha}_1}^2 \cdot \textsf{TC2}_c \left( \fcolorbox{blue}{none}{$\textcolor{blue}{a}(\textcolor{green}{0, 0}, \mathbf{X}), \textcolor{blue}{a}(\textcolor{green}{0, 1}, \mathbf{X})$}, \fcolorbox{red}{none}{$\textcolor{red}{b}(\textcolor{green}{0, 0}, \mathbf{X}), \textcolor{red}{b}(\textcolor{green}{0, 1}, \mathbf{X})$} \right) +
L_{2, \vec{\alpha}_1}^2 \cdot \textsf{TC2}_c \left( \fcolorbox{blue}{none}{$\textcolor{blue}{a}(\textcolor{green}{1, 0}, \mathbf{X}), \textcolor{blue}{a}(\textcolor{green}{1, 1}, \mathbf{X})$}, \fcolorbox{red}{none}{$\textcolor{red}{b}(\textcolor{green}{1, 0}, \mathbf{X}), \textcolor{red}{b}(\textcolor{green}{1, 1}, \mathbf{X})$} \right) +
L_{1, \vec{\alpha}_1}L_{2, \vec{\alpha}_1} \cdot \textsf{TC2}_c \left( \fcolorbox{blue}{none}{$\textcolor{blue}{a}(\textcolor{green}{0, 0}, \mathbf{X}), \textcolor{blue}{a}(\textcolor{green}{0, 1}, \mathbf{X})$}, \fcolorbox{red}{none}{$\textcolor{red}{b}(\textcolor{green}{1, 0}, \mathbf{X}), \textcolor{red}{b}(\textcolor{green}{1, 1}, \mathbf{X})$} \right) +
L_{1, \vec{\alpha}_1}L_{2, \vec{\alpha}_1} \cdot \textsf{TC2}_c \left( \fcolorbox{blue}{none}{$\textcolor{blue}{a}(\textcolor{green}{1, 0}, \mathbf{X}), \textcolor{blue}{a}(\textcolor{green}{1, 1}, \mathbf{X})$}, \fcolorbox{red}{none}{$\textcolor{red}{b}(\textcolor{green}{0, 0}, \mathbf{X}), \textcolor{red}{b}(\textcolor{green}{0, 1}, \mathbf{X})$} \right) \Big)
\textsf{TC2}(a_1b_2) + \textsf{TC2}(a_2b_1) = \textsf{TC2}((a_1 + a_2)(b_1+b_2)) - \textsf{TC2}(a_1b_1) - \textsf{TC2}(a_2b_2)

Toom Cook in Sumcheck

Round 2:

r_2(c) = \sum_{\mathbf{X}} \textcolor{blue}{a}(\alpha_1, c, \mathbf{X})\cdot \textcolor{red}{b}(\alpha_1, c, \mathbf{X})
= \sum_{\mathbf{X}} \Big( L_{1, \vec{\alpha}_1} \cdot \textcolor{blue}{a}(\textcolor{green}{0}, c, \mathbf{X}) + L_{2, \vec{\alpha}_1} \cdot \textcolor{blue}{a}(\textcolor{green}{1}, c, \mathbf{X}) \Big) \Big( L_{1, \vec{\alpha}_1} \cdot \textcolor{red}{b}(\textcolor{green}{0}, c, \mathbf{X}) + L_{2, \vec{\alpha}_1} \cdot \textcolor{red}{b}(\textcolor{green}{1}, c, \mathbf{X}) \Big)
= \sum_{\mathbf{X}} \Big( L_{1, \vec{\alpha}_1} \cdot (\bar{c} \cdot \textcolor{blue}{a}(\textcolor{green}{0, 0}, \mathbf{X}) + c \cdot \textcolor{blue}{a}(\textcolor{green}{0, 1}, \mathbf{X})) + L_{2, \vec{\alpha}_1} \cdot (\bar{c} \cdot \textcolor{blue}{a}(\textcolor{green}{1, 0}, \mathbf{X}) + c \cdot \textcolor{blue}{a}(\textcolor{green}{1, 1}, \mathbf{X})) \Big)
\Big( L_{1, \vec{\alpha}_1} \cdot (\bar{c} \cdot \textcolor{red}{b}(\textcolor{green}{0, 0}, \mathbf{X}) + c \cdot \textcolor{red}{b}(\textcolor{green}{0, 1}, \mathbf{X})) + L_{2, \vec{\alpha}_1} \cdot (\bar{c} \cdot \textcolor{red}{b}(\textcolor{green}{1, 0}, \mathbf{X}) + c \cdot \textcolor{red}{b}(\textcolor{green}{1, 1}, \mathbf{X})) \Big)
= \sum_{\mathbf{X}} \Big( \left(L_{1, \vec{\alpha}_1}^2 - L_{1, \vec{\alpha}_1}L_{2, \vec{\alpha}_1} \right) \cdot \textsf{TC2}_c \left( \fcolorbox{blue}{none}{$\textcolor{blue}{a}(\textcolor{green}{0, 0}, \mathbf{X}), \textcolor{blue}{a}(\textcolor{green}{0, 1}, \mathbf{X})$}, \fcolorbox{red}{none}{$\textcolor{red}{b}(\textcolor{green}{0, 0}, \mathbf{X}), \textcolor{red}{b}(\textcolor{green}{0, 1}, \mathbf{X})$} \right) +
\left( L_{2, \vec{\alpha}_1}^2 - L_{1, \vec{\alpha}_1}L_{2, \vec{\alpha}_1} \right) \cdot \textsf{TC2}_c \left( \fcolorbox{blue}{none}{$\textcolor{blue}{a}(\textcolor{green}{1, 0}, \mathbf{X}), \textcolor{blue}{a}(\textcolor{green}{1, 1}, \mathbf{X})$}, \fcolorbox{red}{none}{$\textcolor{red}{b}(\textcolor{green}{1, 0}, \mathbf{X}), \textcolor{red}{b}(\textcolor{green}{1, 1}, \mathbf{X})$} \right) +
L_{1, \vec{\alpha}_1}L_{2, \vec{\alpha}_1} \cdot \textsf{TC2}_c \left( \fcolorbox{blue}{none}{$\textcolor{blue}{a}(\textcolor{green}{\underline{0}}, \cdot) + \textcolor{blue}{a}(\textcolor{green}{\underline{2}}, \cdot), \textcolor{blue}{a}(\textcolor{green}{\underline{1}}, \cdot) + \textcolor{blue}{a}(\textcolor{green}{\underline{3}}, \cdot)$}, \fcolorbox{red}{none}{$\textcolor{red}{b}(\textcolor{green}{\underline{0}}, \cdot) + \textcolor{red}{b}(\textcolor{green}{\underline{1}}, \cdot), \textcolor{red}{b}(\textcolor{green}{\underline{1}}, \cdot) + \textcolor{red}{b}(\textcolor{green}{\underline{3}}, \cdot)$} \right) \Big)
\textsf{TC2}(a_1b_2) + \textsf{TC2}(a_2b_1) = \textsf{TC2}((a_1 + a_2)(b_1+b_2)) - \textsf{TC2}(a_1b_1) - \textsf{TC2}(a_2b_2)

Toom Cook for \(d=3\)

r_1(c) = \sum_{\mathbf{X}} \textcolor{blue}{p}(c, \mathbf{X})\cdot \textcolor{red}{q}(c, \mathbf{X}) \cdot \textcolor{orange}{r}(c, \mathbf{X})

Round 1:

= \sum_{\mathbf{X}} \big( L_{1, c} \cdot \textcolor{blue}{p}_{\textcolor{green}{0}} + L_{2, c} \cdot \textcolor{blue}{p}_{\textcolor{green}{1}} \big) \big( L_{1, c} \cdot \textcolor{red}{q}_{\textcolor{green}{0}} + L_{2, c} \cdot \textcolor{red}{q}_{\textcolor{green}{1}} \big) \big( L_{1, c} \cdot \textcolor{orange}{r}_{\textcolor{green}{0}} + L_{2, c} \cdot \textcolor{orange}{r}_{\textcolor{green}{1}} \big)
= \sum_{\mathbf{X}} \textsf{TC}_{3, 2}(p, q, r)
r_2(c) = \sum_{\mathbf{X}} \textcolor{blue}{p}(\alpha_1, c, \mathbf{X})\cdot \textcolor{red}{q}(\alpha_1, c, \mathbf{X}) \cdot \textcolor{orange}{r}(\alpha_1, c, \mathbf{X})

Round 2:

= \sum_{\mathbf{X}} \big( L_{1, \alpha_1} \cdot \textcolor{blue}{p}_{\textcolor{green}{0}}(c) + L_{2, \alpha_1} \cdot \textcolor{blue}{p}_{\textcolor{green}{1}}(c) \big) \big( L_{1, \alpha_1} \cdot \textcolor{red}{q}_{\textcolor{green}{0}}(c) + L_{2, \alpha_1} \cdot \textcolor{red}{q}_{\textcolor{green}{1}}(c) \big) \big( L_{1, \alpha_1} \cdot \textcolor{orange}{r}_{\textcolor{green}{0}}(c) + L_{2, \alpha_1} \cdot \textcolor{orange}{r}_{\textcolor{green}{1}}(c) \big)
= \sum_{\mathbf{X}} \textsf{TC}_{3, 2}(p', q', r')
  • How do we optimally compute \(\textsf{TC}_{3, 2}\)?

Toom Cook Optimisation for \(d=3\)

r_1(c) = \sum_{\mathbf{X}} \textcolor{blue}{p}(c, \mathbf{X})\cdot \textcolor{red}{q}(c, \mathbf{X}) \cdot \textcolor{orange}{r}(c, \mathbf{X})

Round 1:

= \sum_{\mathbf{X}} \textsf{TC2}_c \left( \fcolorbox{blue}{none}{$\textcolor{blue}{p}(\textcolor{green}{0}, \mathbf{X}), \textcolor{blue}{p}(\textcolor{green}{1}, \mathbf{X})$}, \fcolorbox{red}{none}{$\textcolor{red}{q}(\textcolor{green}{0}, \mathbf{X}), \textcolor{red}{q}(\textcolor{green}{1}, \mathbf{X})$} \right) \cdot \textcolor{orange}{r}(c, \mathbf{X})
= \sum_{\mathbf{X}} \textsf{TC2.5}_{c} \left( \textsf{TC2}_c \left( \fcolorbox{blue}{none}{$\textcolor{blue}{p}(\textcolor{green}{0}, \mathbf{X}), \textcolor{blue}{p}(\textcolor{green}{1}, \mathbf{X})$}, \fcolorbox{red}{none}{$\textcolor{red}{q}(\textcolor{green}{0}, \mathbf{X}), \textcolor{red}{q}(\textcolor{green}{1}, \mathbf{X})$} \right), \fcolorbox{red}{none}{$\textcolor{orange}{r}(\textcolor{green}{0}, \mathbf{X}), \textcolor{orange}{r}(\textcolor{green}{1}, \mathbf{X})$} \right)

\(\implies \textsf{TC2} \longrightarrow 3 \cdot \textsf{bb}\) multiplicationsĀ 

\(\implies \textsf{TC2.5} \longrightarrow 4 \cdot \textsf{bb}\) multiplicationsĀ 

\(\implies\) Total requires \(7 \cdot \textsf{bb}\) multiplicationsĀ 

\(\implies\) JT's method requires \(14 \cdot \textsf{bb}\) multiplicationsĀ 

r_2(c) = \sum_{\mathbf{X}} \textcolor{blue}{p}(\alpha_1, c, \mathbf{X})\cdot \textcolor{red}{q}(\alpha_1, c, \mathbf{X}) \cdot \textcolor{orange}{r}(\alpha_1, c, \mathbf{X})
\textcolor{blue}{p}(\alpha_1, c, \mathbf{X})\cdot \textcolor{red}{q}(\alpha_1, c, \mathbf{X}) = \textcolor{skyblue}{\left(L_{1, \vec{\alpha}_1}^2 - L_{1, \vec{\alpha}_1}L_{2, \vec{\alpha}_1} \right)} \cdot \textsf{TC2}_c \left( \fcolorbox{blue}{none}{$\textcolor{blue}{p}(\textcolor{green}{\underline{0}}, \cdot), \textcolor{blue}{p}(\textcolor{green}{\underline{1}}, \cdot)$}, \fcolorbox{red}{none}{$\textcolor{red}{q}(\textcolor{green}{\underline{0}}, \cdot), \textcolor{red}{q}(\textcolor{green}{\underline{1}}, \cdot)$} \right) +
\textcolor{skyblue}{\left(L_{2, \vec{\alpha}_1}^2 - L_{1, \vec{\alpha}_1}L_{2, \vec{\alpha}_1}\right)} \cdot \textsf{TC2}_c \left( \fcolorbox{blue}{none}{$\textcolor{blue}{p}(\textcolor{green}{\underline{2}}, \cdot), \textcolor{blue}{p}(\textcolor{green}{\underline{3}}, \cdot)$}, \fcolorbox{red}{none}{$\textcolor{red}{q}(\textcolor{green}{\underline{2}}, \cdot), \textcolor{red}{q}(\textcolor{green}{\underline{3}}, \cdot)$} \right) +
\textcolor{skyblue}{L_{1, \vec{\alpha}_1}L_{2, \vec{\alpha}_1}} \cdot \textsf{TC2}_c \left( \fcolorbox{blue}{none}{$\textcolor{blue}{p}(\textcolor{green}{\underline{0}}, \cdot) + \textcolor{blue}{p}(\textcolor{green}{\underline{2}}, \cdot), \textcolor{blue}{p}(\textcolor{green}{\underline{1}}, \cdot) + \textcolor{blue}{p}(\textcolor{green}{\underline{3}}, \cdot)$}, \fcolorbox{red}{none}{$\textcolor{red}{q}(\textcolor{green}{\underline{0}}, \cdot) + \textcolor{red}{q}(\textcolor{green}{\underline{1}}, \cdot), \textcolor{red}{q}(\textcolor{green}{\underline{1}}, \cdot) + \textcolor{red}{q}(\textcolor{green}{\underline{3}}, \cdot)$} \right)
\textcolor{orange}{r}(\alpha_1, c, \mathbf{X}) = L_{1, \vec{\alpha}_1} ( \bar{c} \cdot \textcolor{orange}{r}(\textcolor{green}{\underline{0}}, \cdot) + c \cdot \textcolor{orange}{r}(\textcolor{green}{\underline{1}}, \cdot)) + L_{2, \vec{\alpha}_1} ( \bar{c} \cdot \textcolor{orange}{r}(\textcolor{green}{\underline{2}}, \cdot) + c \cdot \textcolor{orange}{r}(\textcolor{green}{\underline{3}}, \cdot))
\textcolor{blue}{p}(*)\cdot \textcolor{red}{q}(*)\cdot \textcolor{orange}{r}(*) = \textcolor{skyblue}{\left(L_{1, \vec{\alpha}_1}^2 - L_{1, \vec{\alpha}_1}L_{2, \vec{\alpha}_1} \right)L_{1, \vec{\alpha}_1}} \cdot \textsf{TC2.5}_c \left( \textsf{TC2}_c \left( \fcolorbox{blue}{none}{$\textcolor{blue}{p}(\textcolor{green}{\underline{0}}, \cdot), \textcolor{blue}{p}(\textcolor{green}{\underline{1}}, \cdot)$}, \fcolorbox{red}{none}{$\textcolor{red}{q}(\textcolor{green}{\underline{0}}, \cdot), \textcolor{red}{q}(\textcolor{green}{\underline{1}}, \cdot)$} \right), \fcolorbox{red}{none}{$\textcolor{orange}{r}(\textcolor{green}{\underline{0}}, \cdot), \textcolor{orange}{r}(\textcolor{green}{\underline{1}}, \cdot)$} \right) +
\textcolor{skyblue}{\left( L_{2, \vec{\alpha}_1}^2 - L_{1, \vec{\alpha}_1}L_{2, \vec{\alpha}_1} \right) L_{1, \vec{\alpha}_1}} \cdot \textsf{TC2.5}_c \left( \textsf{TC2}_c \left( \fcolorbox{blue}{none}{$\textcolor{blue}{p}(\textcolor{green}{\underline{2}}, \cdot), \textcolor{blue}{p}(\textcolor{green}{\underline{3}}, \cdot)$}, \fcolorbox{red}{none}{$\textcolor{red}{q}(\textcolor{green}{\underline{2}}, \cdot), \textcolor{red}{q}(\textcolor{green}{\underline{3}}, \cdot)$} \right), \fcolorbox{red}{none}{$\textcolor{orange}{r}(\textcolor{green}{\underline{0}}, \cdot), \textcolor{orange}{r}(\textcolor{green}{\underline{1}}, \cdot)$} \right) +
\textcolor{skyblue}{L_{1, \vec{\alpha}_1}^2 L_{2, \vec{\alpha}_1}} \cdot \textsf{TC2.5}_c \left( \textsf{TC2}_c \left( \fcolorbox{blue}{none}{$\textcolor{blue}{p}(\textcolor{green}{\underline{0}}, \cdot) + \textcolor{blue}{p}(\textcolor{green}{\underline{2}}, \cdot), \textcolor{blue}{p}(\textcolor{green}{\underline{1}}, \cdot) + \textcolor{blue}{p}(\textcolor{green}{\underline{3}}, \cdot)$}, \fcolorbox{red}{none}{$\textcolor{red}{q}(\textcolor{green}{\underline{0}}, \cdot) + \textcolor{red}{q}(\textcolor{green}{\underline{1}}, \cdot), \textcolor{red}{q}(\textcolor{green}{\underline{1}}, \cdot) + \textcolor{red}{q}(\textcolor{green}{\underline{3}}, \cdot)$} \right), \fcolorbox{red}{none}{$\textcolor{orange}{r}(\textcolor{green}{\underline{0}}, \cdot), \textcolor{orange}{r}(\textcolor{green}{\underline{1}}, \cdot)$} \right)
+ \textcolor{skyblue}{\left(L_{1, \vec{\alpha}_1}^2 - L_{1, \vec{\alpha}_1}L_{2, \vec{\alpha}_1} \right)L_{2, \vec{\alpha}_1}} \cdot \textsf{TC2.5}_c \left( \textsf{TC2}_c \left( \fcolorbox{blue}{none}{$\textcolor{blue}{p}(\textcolor{green}{\underline{0}}, \cdot), \textcolor{blue}{p}(\textcolor{green}{\underline{1}}, \cdot)$}, \fcolorbox{red}{none}{$\textcolor{red}{q}(\textcolor{green}{\underline{0}}, \cdot), \textcolor{red}{q}(\textcolor{green}{\underline{1}}, \cdot)$} \right), \fcolorbox{red}{none}{$\textcolor{orange}{r}(\textcolor{green}{\underline{2}}, \cdot), \textcolor{orange}{r}(\textcolor{green}{\underline{3}}, \cdot)$} \right) +
\textcolor{skyblue}{\left( L_{2, \vec{\alpha}_1}^2 - L_{1, \vec{\alpha}_1}L_{2, \vec{\alpha}_1} \right) L_{2, \vec{\alpha}_1}} \cdot \textsf{TC2.5}_c \left( \textsf{TC2}_c \left( \fcolorbox{blue}{none}{$\textcolor{blue}{p}(\textcolor{green}{\underline{2}}, \cdot), \textcolor{blue}{p}(\textcolor{green}{\underline{3}}, \cdot)$}, \fcolorbox{red}{none}{$\textcolor{red}{q}(\textcolor{green}{\underline{2}}, \cdot), \textcolor{red}{q}(\textcolor{green}{\underline{3}}, \cdot)$} \right), \fcolorbox{red}{none}{$\textcolor{orange}{r}(\textcolor{green}{\underline{2}}, \cdot), \textcolor{orange}{r}(\textcolor{green}{\underline{3}}, \cdot)$} \right) +
\textcolor{skyblue}{L_{1, \vec{\alpha}_1} L_{2, \vec{\alpha}_1}^2} \cdot \textsf{TC2.5}_c \left( \textsf{TC2}_c \left( \fcolorbox{blue}{none}{$\textcolor{blue}{p}(\textcolor{green}{\underline{0}}, \cdot) + \textcolor{blue}{p}(\textcolor{green}{\underline{2}}, \cdot), \textcolor{blue}{p}(\textcolor{green}{\underline{1}}, \cdot) + \textcolor{blue}{p}(\textcolor{green}{\underline{3}}, \cdot)$}, \fcolorbox{red}{none}{$\textcolor{red}{q}(\textcolor{green}{\underline{0}}, \cdot) + \textcolor{red}{q}(\textcolor{green}{\underline{1}}, \cdot), \textcolor{red}{q}(\textcolor{green}{\underline{1}}, \cdot) + \textcolor{red}{q}(\textcolor{green}{\underline{3}}, \cdot)$} \right), \fcolorbox{red}{none}{$\textcolor{orange}{r}(\textcolor{green}{\underline{2}}, \cdot), \textcolor{orange}{r}(\textcolor{green}{\underline{3}}, \cdot)$} \right)

Toom Cook Optimisation for \(d=3\)

\textcolor{blue}{p}(*)\cdot \textcolor{red}{q}(*)\cdot \textcolor{orange}{r}(*) = \textcolor{skyblue}{\left(L_{1, \vec{\alpha}_1}^2 - L_{1, \vec{\alpha}_1}L_{2, \vec{\alpha}_1} \right)L_{1, \vec{\alpha}_1}} \cdot \textsf{TC2.5}_c \left( \textsf{TC2}_c \left( \fcolorbox{blue}{none}{$\textcolor{blue}{p}(\textcolor{green}{\underline{0}}, \cdot), \textcolor{blue}{p}(\textcolor{green}{\underline{1}}, \cdot)$}, \fcolorbox{red}{none}{$\textcolor{red}{q}(\textcolor{green}{\underline{0}}, \cdot), \textcolor{red}{q}(\textcolor{green}{\underline{1}}, \cdot)$} \right), \fcolorbox{red}{none}{$\textcolor{orange}{r}(\textcolor{green}{\underline{0}}, \cdot), \textcolor{orange}{r}(\textcolor{green}{\underline{1}}, \cdot)$} \right) +
\textcolor{skyblue}{\left( L_{2, \vec{\alpha}_1}^2 - L_{1, \vec{\alpha}_1}L_{2, \vec{\alpha}_1} \right) L_{1, \vec{\alpha}_1}} \cdot \textsf{TC2.5}_c \left( \textsf{TC2}_c \left( \fcolorbox{blue}{none}{$\textcolor{blue}{p}(\textcolor{green}{\underline{2}}, \cdot), \textcolor{blue}{p}(\textcolor{green}{\underline{3}}, \cdot)$}, \fcolorbox{red}{none}{$\textcolor{red}{q}(\textcolor{green}{\underline{2}}, \cdot), \textcolor{red}{q}(\textcolor{green}{\underline{3}}, \cdot)$} \right), \fcolorbox{red}{none}{$\textcolor{orange}{r}(\textcolor{green}{\underline{0}}, \cdot), \textcolor{orange}{r}(\textcolor{green}{\underline{1}}, \cdot)$} \right) +
\textcolor{skyblue}{L_{1, \vec{\alpha}_1}^2 L_{2, \vec{\alpha}_1}} \cdot \textsf{TC2.5}_c \left( \textsf{TC2}_c \left( \fcolorbox{blue}{none}{$\textcolor{blue}{p}(\textcolor{green}{\underline{0}}, \cdot) + \textcolor{blue}{p}(\textcolor{green}{\underline{2}}, \cdot), \textcolor{blue}{p}(\textcolor{green}{\underline{1}}, \cdot) + \textcolor{blue}{p}(\textcolor{green}{\underline{3}}, \cdot)$}, \fcolorbox{red}{none}{$\textcolor{red}{q}(\textcolor{green}{\underline{0}}, \cdot) + \textcolor{red}{q}(\textcolor{green}{\underline{1}}, \cdot), \textcolor{red}{q}(\textcolor{green}{\underline{1}}, \cdot) + \textcolor{red}{q}(\textcolor{green}{\underline{3}}, \cdot)$} \right), \fcolorbox{red}{none}{$\textcolor{orange}{r}(\textcolor{green}{\underline{0}}, \cdot), \textcolor{orange}{r}(\textcolor{green}{\underline{1}}, \cdot)$} \right)
+ \textcolor{skyblue}{\left(L_{1, \vec{\alpha}_1}^2 - L_{1, \vec{\alpha}_1}L_{2, \vec{\alpha}_1} \right)L_{2, \vec{\alpha}_1}} \cdot \textsf{TC2.5}_c \left( \textsf{TC2}_c \left( \fcolorbox{blue}{none}{$\textcolor{blue}{p}(\textcolor{green}{\underline{0}}, \cdot), \textcolor{blue}{p}(\textcolor{green}{\underline{1}}, \cdot)$}, \fcolorbox{red}{none}{$\textcolor{red}{q}(\textcolor{green}{\underline{0}}, \cdot), \textcolor{red}{q}(\textcolor{green}{\underline{1}}, \cdot)$} \right), \fcolorbox{red}{none}{$\textcolor{orange}{r}(\textcolor{green}{\underline{2}}, \cdot), \textcolor{orange}{r}(\textcolor{green}{\underline{3}}, \cdot)$} \right) +
\textcolor{skyblue}{\left( L_{2, \vec{\alpha}_1}^2 - L_{1, \vec{\alpha}_1}L_{2, \vec{\alpha}_1} \right) L_{2, \vec{\alpha}_1}} \cdot \textsf{TC2.5}_c \left( \textsf{TC2}_c \left( \fcolorbox{blue}{none}{$\textcolor{blue}{p}(\textcolor{green}{\underline{2}}, \cdot), \textcolor{blue}{p}(\textcolor{green}{\underline{3}}, \cdot)$}, \fcolorbox{red}{none}{$\textcolor{red}{q}(\textcolor{green}{\underline{2}}, \cdot), \textcolor{red}{q}(\textcolor{green}{\underline{3}}, \cdot)$} \right), \fcolorbox{red}{none}{$\textcolor{orange}{r}(\textcolor{green}{\underline{2}}, \cdot), \textcolor{orange}{r}(\textcolor{green}{\underline{3}}, \cdot)$} \right) +
\textcolor{skyblue}{L_{1, \vec{\alpha}_1} L_{2, \vec{\alpha}_1}^2} \cdot \textsf{TC2.5}_c \left( \textsf{TC2}_c \left( \fcolorbox{blue}{none}{$\textcolor{blue}{p}(\textcolor{green}{\underline{0}}, \cdot) + \textcolor{blue}{p}(\textcolor{green}{\underline{2}}, \cdot), \textcolor{blue}{p}(\textcolor{green}{\underline{1}}, \cdot) + \textcolor{blue}{p}(\textcolor{green}{\underline{3}}, \cdot)$}, \fcolorbox{red}{none}{$\textcolor{red}{q}(\textcolor{green}{\underline{0}}, \cdot) + \textcolor{red}{q}(\textcolor{green}{\underline{1}}, \cdot), \textcolor{red}{q}(\textcolor{green}{\underline{1}}, \cdot) + \textcolor{red}{q}(\textcolor{green}{\underline{3}}, \cdot)$} \right), \fcolorbox{red}{none}{$\textcolor{orange}{r}(\textcolor{green}{\underline{2}}, \cdot), \textcolor{orange}{r}(\textcolor{green}{\underline{3}}, \cdot)$} \right)
\textcolor{blue}{p}(*)\cdot \textcolor{red}{q}(*)\cdot \textcolor{orange}{r}(*) = \textcolor{skyblue}{L_{1, \vec{\alpha}_1}^3} \cdot \textsf{TC2.5}_c \left( \textsf{TC2}_c \left( \fcolorbox{blue}{none}{$\textcolor{blue}{p}(\textcolor{green}{\underline{0}}, \cdot), \textcolor{blue}{p}(\textcolor{green}{\underline{1}}, \cdot)$}, \fcolorbox{red}{none}{$\textcolor{red}{q}(\textcolor{green}{\underline{0}}, \cdot), \textcolor{red}{q}(\textcolor{green}{\underline{1}}, \cdot)$} \right), \fcolorbox{red}{none}{$\textcolor{orange}{r}(\textcolor{green}{\underline{0}}, \cdot), \textcolor{orange}{r}(\textcolor{green}{\underline{1}}, \cdot)$} \right) +
\textcolor{skyblue}{L_{1, \vec{\alpha}_1}^2 L_{2, \vec{\alpha}_1}} \cdot \textsf{TC2.5}_c \left( \textsf{TC2}_c \left( \fcolorbox{blue}{none}{$\textcolor{blue}{p}(\textcolor{green}{\underline{0}}, \cdot) + \textcolor{blue}{p}(\textcolor{green}{\underline{2}}, \cdot), \textcolor{blue}{p}(\textcolor{green}{\underline{1}}, \cdot) + \textcolor{blue}{p}(\textcolor{green}{\underline{3}}, \cdot)$}, \fcolorbox{red}{none}{$\textcolor{red}{q}(\textcolor{green}{\underline{0}}, \cdot) + \textcolor{red}{q}(\textcolor{green}{\underline{1}}, \cdot), \textcolor{red}{q}(\textcolor{green}{\underline{1}}, \cdot) + \textcolor{red}{q}(\textcolor{green}{\underline{3}}, \cdot)$} \right), \fcolorbox{red}{none}{$\textcolor{orange}{r}(\textcolor{green}{\underline{0}}, \cdot), \textcolor{orange}{r}(\textcolor{green}{\underline{1}}, \cdot)$} \right)
- \textsf{TC2}_c \left( \fcolorbox{blue}{none}{$\textcolor{blue}{p}(\textcolor{green}{\underline{2}}, \cdot), \textcolor{blue}{p}(\textcolor{green}{\underline{3}}, \cdot)$}, \fcolorbox{red}{none}{$\textcolor{red}{q}(\textcolor{green}{\underline{2}}, \cdot), \textcolor{red}{q}(\textcolor{green}{\underline{3}}, \cdot)$} \right)

\(\implies\) Total requires \(28 \cdot \textsf{bb}\) multiplicationsĀ 

\(\implies\) JT's method requires \(52 \cdot \textsf{bb}\) multiplicationsĀ 

\implies 7 \cdot 2^{i-1}
\implies (2^{i-1} + 4^i - 4^{i-1})

Toom Cook Optimisation for \(d=3\)

Comparison for \(d=2\) and \(d=3\)

\begin{aligned} G_2(\textcolor{skyblue}{\alpha_1}, c, \mathbf{X}) =&\ \textcolor{blue}{a}(\textcolor{skyblue}{\alpha_1}, c, \mathbf{X})\cdot \textcolor{red}{b}(\textcolor{skyblue}{\alpha_1}, c, \mathbf{X}) \\[4pt] =&\ \big( \textcolor{skyblue}{\bar{\alpha}_1} \cdot \textcolor{blue}{a}(\textcolor{green}{0}, c, \mathbf{X}) + \textcolor{skyblue}{\alpha_1} \cdot \textcolor{blue}{a}(\textcolor{green}{1}, c, \mathbf{X}) \big) \big( \textcolor{skyblue}{\bar{\alpha}_1} \cdot \textcolor{red}{b}(\textcolor{green}{0}, c, \mathbf{X}) + \textcolor{skyblue}{\alpha_1} \cdot \textcolor{red}{b}(\textcolor{green}{1}, c, \mathbf{X}) \big) \\[4pt] =&\ \textcolor{skyblue}{\bar{\alpha}_1^2} \cdot \textcolor{blue}{a}_{\textcolor{green}{0}} \cdot \textcolor{red}{b}_{\textcolor{green}{0}} + \\[2pt] &\ \textcolor{skyblue}{\alpha_1^2} \cdot \textcolor{blue}{a}_{\textcolor{green}{1}} \cdot \textcolor{red}{b}_{\textcolor{green}{1}} + \\[2pt] &\ \textcolor{skyblue}{\bar{\alpha}_1\alpha_1} \cdot \textcolor{blue}{a}_{\textcolor{green}{0}} \cdot \textcolor{red}{b}_{\textcolor{green}{1}} + \\[2pt] &\ \textcolor{skyblue}{\bar{\alpha}_1\alpha_1} \cdot \textcolor{blue}{a}_{\textcolor{green}{1}} \cdot \textcolor{red}{b}_{\textcolor{green}{0}} \end{aligned}
\begin{aligned} G_2(\textcolor{skyblue}{\alpha_1}, c, \mathbf{X}) =&\ \textcolor{blue}{a}(\textcolor{skyblue}{\alpha_1}, c, \mathbf{X})\cdot \textcolor{red}{b}(\textcolor{skyblue}{\alpha_1}, c, \mathbf{X}) \cdot \textcolor{orange}{c}(\textcolor{skyblue}{\alpha_1}, c, \mathbf{X})\\[4pt] =&\ \big( \textcolor{skyblue}{\bar{\alpha}_1} \cdot \textcolor{blue}{a}(\textcolor{green}{0}, c, \mathbf{X}) + \textcolor{skyblue}{\alpha_1} \cdot \textcolor{blue}{a}(\textcolor{green}{1}, c, \mathbf{X}) \big) \big( \textcolor{skyblue}{\bar{\alpha}_1} \cdot \textcolor{red}{b}(\textcolor{green}{0}, c, \mathbf{X}) + \textcolor{skyblue}{\alpha_1} \cdot \textcolor{red}{b}(\textcolor{green}{1}, c, \mathbf{X}) \big) \big( \textcolor{skyblue}{\bar{\alpha}_1} \cdot \textcolor{orange}{c}(\textcolor{green}{0}, c, \mathbf{X}) + \textcolor{skyblue}{\alpha_1} \cdot \textcolor{orange}{c}(\textcolor{green}{1}, c, \mathbf{X}) \big)\\[4pt] =&\ \textcolor{skyblue}{\bar{\alpha}_1^3} \cdot \textcolor{blue}{a}_{\textcolor{green}{0}} \cdot \textcolor{red}{b}_{\textcolor{green}{0}} \cdot \textcolor{orange}{c}_{\textcolor{green}{0}} \ + \\[2pt] &\ \textcolor{skyblue}{\alpha_1^3} \cdot \textcolor{blue}{a}_{\textcolor{green}{1}} \cdot \textcolor{red}{b}_{\textcolor{green}{1}} \cdot \textcolor{orange}{c}_{\textcolor{green}{1}} \ + \\[2pt] &\ \textcolor{skyblue}{\bar{\alpha}_1^2\alpha_1} \cdot \Big( \textcolor{blue}{a}_{\textcolor{green}{0}} \cdot \textcolor{red}{b}_{\textcolor{green}{1}} \cdot \textcolor{orange}{c}_{\textcolor{green}{0}} \ + \ \textcolor{blue}{a}_{\textcolor{green}{1}} \cdot \textcolor{red}{b}_{\textcolor{green}{0}} \cdot \textcolor{orange}{c}_{\textcolor{green}{0}} \ + \ \textcolor{blue}{a}_{\textcolor{green}{0}} \cdot \textcolor{red}{b}_{\textcolor{green}{0}} \cdot \textcolor{orange}{c}_{\textcolor{green}{1}} \Big) + \\[2pt] &\ \textcolor{skyblue}{\bar{\alpha}_1\alpha_1^2} \cdot \Big( \textcolor{blue}{a}_{\textcolor{green}{0}} \cdot \textcolor{red}{b}_{\textcolor{green}{1}} \cdot \textcolor{orange}{c}_{\textcolor{green}{1}} \ + \ \textcolor{blue}{a}_{\textcolor{green}{1}} \cdot \textcolor{red}{b}_{\textcolor{green}{0}} \cdot \textcolor{orange}{c}_{\textcolor{green}{1}} \ + \ \textcolor{blue}{a}_{\textcolor{green}{1}} \cdot \textcolor{red}{b}_{\textcolor{green}{1}} \cdot \textcolor{orange}{c}_{\textcolor{green}{0}} \Big) \end{aligned}

Toom Cook Meets Sumcheck

By Suyash Bagad

Toom Cook Meets Sumcheck

  • 113